

경기도 평택시 지제동에 위치한 '지제역 더샵 센트럴시티'는 포스코건설이 시공한 대단지 아파트로, 2019년 9월 분양을 시작하여 2022년 5월에 입주를 완료하였습니다. 총 1,999세대 규모로 지하 1층~지상 27층, 총 19개 동으로 구성되어 있으며, 지제역 도보권에 위치한 입지적 장점으로 인해 분양 당시부터 높은 관심을 받았습니다.

경기도 평택시 세교동에 위치한 '평택지제역자이'는 GS건설이 시공한 대단지 아파트로, 2023년 6월에 입주를 시작하였습니다. 총 1,052세대로 구성되어 있으며, 지제역 도보권에 위치한 입지적 장점과 브랜드 프리미엄으로 인해 분양 당시부터 높은 관심을 받았습니다.

지제역 부근 역세권 내 대표하는 아파트로 "지제역 더샾" 과 "지제역 자이" 아파트에 대해 분양 후 가격 변동 추이에 대하여 분석하도록 하겠습니다.
📈 지제역 더샾 센트럴시티 아파트 분양가 및 실거래가 추이
✅ 분양가 정보 (2019년 기준)
- 전용 84㎡(공급 110㎡): 약 4억 2,800만~4억 3,100만 원
- 전용 115㎡(공급 148㎡): 약 5억 9,100만 원
이는 당시 평택시 평균 분양가보다 높은 수준이었으나, 지제역 도보권 입지와 대단지 프리미엄으로 인해 수요자들의 관심을 끌었습니다.
📊 실거래가 변동 (2022~2025년)
- 전용 84㎡:
- 2022년 입주 초기: 약 5억 9,500만 원
- 2025년 상반기: 7억 6,500만~8억 2,000만 원
- 전용 115㎡:
- 2022년 입주 초기: 약 6억 5,000만 원
- 2025년 상반기: 10억 5,000만~11억 8,000만 원
이는 분양가 대비 약 2억~3억 원의 상승을 나타내며, 단지의 가치 상승을 보여줍니다.
◈ 상승률 84타입 기준
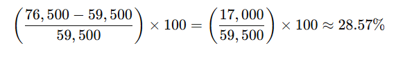
📈 상승률 계산식

✅ 최소 상승률 (7억 6,500만 원 기준)

✅ 최대 상승률 (8억 2,000만 원 기준)

🔍 결과 요약
- 상승률 범위: 약 28.57% ~ 37.82%
- 상승액 범위: 1억 7,000만 원 ~ 2억 2,500만 원

🏗️ 가격 상승 요인 분석
1. 우수한 입지 조건
지제역 더샵 센트럴시티는 SRT와 지하철 1호선이 교차하는 지제역 도보권에 위치해 있어 서울 강남까지 20분대 이동이 가능합니다. 또한, 향후 GTX-A 노선 연장 및 복합환승센터 개발 계획이 있어 교통 편의성이 더욱 향상될 전망입니다.
2. 삼성전자 평택캠퍼스와의 직주근접
단지에서 차량으로 약 10분 거리에 삼성전자 평택캠퍼스가 위치해 있어, 직주근접을 선호하는 수요자들에게 매력적인 요소로 작용하고 있습니다.
3. 풍부한 생활 인프라
단지 내에는 시립 어린이집, 피트니스센터, 사우나, 도서관 등 다양한 커뮤니티 시설이 마련되어 있으며, 도보 5분 거리에 이마트 평택점이 위치해 있어 생활 편의성이 뛰어납니다.
4. 대단지 프리미엄
총 1,999세대의 대단지로 구성되어 있어 관리비 절감, 다양한 커뮤니티 시설, 안정적인 주민 구성 등 대단지 아파트의 장점을 누릴 수 있습니다.
🔮 향후 전망
지제역 더샵 센트럴시티는 입주 이후 지속적인 가격 상승을 보여주고 있으며, 향후 교통망 확충과 산업단지 개발 등의 호재로 인해 추가적인 가치 상승이 기대됩니다. 특히, GTX-A 노선 연장과 브레인시티 개발 등의 계획이 현실화될 경우, 단지의 입지적 가치는 더욱 부각될 것으로 보입니다.
📈 지제역 자이 아파트 분양가 및 실거래가 추이
✅ 분양가 정보 (2021년 기준)
- 전용 79㎡: 약 3억 6,000만 원
- 전용 111㎡: 약 5억 3,000만 원
이는 당시 평택시 평균 분양가보다 높은 수준이었으나, 지제역 도보권 입지와 브랜드 프리미엄으로 인해 수요자들의 관심을 끌었습니다.
📊 실거래가 변동 (2023~2025년)
- 전용 79㎡:
- 2023년 입주 초기: 약 5억 6,000만 원
- 2025년 상반기: 약 7억 6,000만 원
- 전용 111㎡:
- 2023년 입주 초기: 약 6억 9,000만 원
- 2025년 상반기: 약 9억 9,000만 원
이는 분양가 대비 약 2억~3억 원의 상승을 나타내며, 단지의 가치 상승을 보여줍니다.
◈ 상승률 79타입 기준
📌 기본 정보
- 2023년 입주 초기 가격: 5억 6,000만 원 (56,000만 원)
- 2025년 상반기 실거래가: 7억 6,000만 원 (76,000만 원)
📈 상승률 계산식

✅ 결과 요약
- 상승액: 2억 원
- 상승률: 약 35.71%

🏗️ 가격 상승 요인 분석
1. 우수한 입지 조건
평택지제역자이는 SRT와 지하철 1호선이 교차하는 지제역 도보권에 위치해 있어 서울 강남까지 20분대 이동이 가능합니다. 또한, 향후 GTX-A 노선 연장 및 복합환승센터 개발 계획이 있어 교통 편의성이 더욱 향상될 전망입니다.
2. 삼성전자 평택캠퍼스와의 직주근접
단지에서 차량으로 약 10분 거리에 삼성전자 평택캠퍼스가 위치해 있어, 직주근접을 선호하는 수요자들에게 매력적인 요소로 작용하고 있습니다.
3. 풍부한 생활 인프라
단지 내에는 시립 어린이집, 피트니스센터, 사우나, 도서관 등 다양한 커뮤니티 시설이 마련되어 있으며, 도보 5분 거리에 이마트 평택점이 위치해 있어 생활 편의성이 뛰어납니다.
4. 브랜드 프리미엄
GS건설의 자이 브랜드는 우수한 시공 품질과 세련된 디자인으로 유명하며, 이는 단지의 가치 상승에 긍정적인 영향을 미치고 있습니다.
🔮 향후 전망
평택지제역자이는 입주 이후 지속적인 가격 상승을 보여주고 있으며, 향후 교통망 확충과 산업단지 개발 등의 호재로 인해 추가적인 가치 상승이 기대됩니다. 특히, GTX-A 노선 연장과 브레인시티 개발 등의 계획이 현실화될 경우, 단지의 입지적 가치는 더욱 부각될 것으로 보입니다.
✅ 결론: 역세권 아파트, 여전히 ‘프리미엄’은 유효하다
역세권 아파트는 꾸준한 수요와 미래 개발 기대감으로 인해 시간이 지날수록 가격 상승률이 높게 유지되는 경향이 뚜렷하게 나타납니다. 특히 다음과 같은 요소들이 복합적으로 작용하며 역세권 프리미엄을 공고히 하고 있습니다.
✔ 1. 교통 접근성 = 안정적인 실수요
지하철·SRT 등 대중교통망 인접은 직주근접 수요층을 안정적으로 확보해주며, 출퇴근 시간 절감이라는 확실한 장점으로 인해 경기 침체기에도 비교적 가격 방어력이 뛰어난 특징을 보입니다.
✔ 2. 개발 호재와 시너지 및 인프라 확장
GTX, 복합환승센터, 도시재생사업 등 교통 인프라 확장 및 지역 개발계획과 맞물리면, 역세권 아파트는 일반 아파트 대비 더 빠르고 높은 자산가치 상승을 이끌어냅니다.
✔ 3. 브랜드 및 단지 여부와의 결합 효과
역세권이라는 입지에 브랜드 단지가 결합되면 시너지 효과는 배가 됩니다. 실거주 만족도와 미래 매매 유리함을 동시에 갖추기 때문에 거주자와 투자자 모두 선호하는 안전한 선택지로 평가됩니다.
📌 마무리 TIP
- 입주 초기 분양가와 현재 실거래가 간의 격차를 보면, 역세권 아파트는 시간이 지날수록 프리미엄이 축적되는 자산임을 확인할 수 있습니다.
- 다만, 미래 가치를 고려한 접근이 필요하며, 단순 역세권보다 ‘환승역, 개발 예정역, 상권 연계 여부’ 등 세부 요소까지 체크하는 것이 현명한 투자로 이어질 수 있습니다.
👉 결론적으로, 역세권 아파트는 ‘실거주 만족’과 ‘자산 가치 상승’이라는 두 마리 토끼를 모두 잡을 수 있는 입지 중심의 스마트한 선택이라고 생각됩니다.
